bwin·必赢(中国)唯一官方网站

{dede:global.cfg_webname/}
  • English
  • 官方微信
  • 首页
  • 栏目名称
    • 测试
  • 第二个
  • 首页
  • 关于我们
    • bwin官网简介
    • 历史沿革
    • 机构设置
    • 现任领导
    • 历任领导
    • 联系我们
  • 团队队伍
    • 全职教工
    • 讲座 兼职教授
    • 重要人才计划
    • 退休人员名单
  • 人才培养
    • 本科生培养
    • 硕士生培养
    • 博士生培养
  • 科学研究
    • 学术交流
    • 重点学科
    • 科研机构
    • 科研团队
    • 科研成果
    • 讨论班
  • 党团建设
    • 党建动态
    • 工会活动
    • 团学工作
  • 理论学习
    • 主题教育
  • 合作交流
    • 国际合作
    • 校际合作
    • 校企合作
  • 人才招聘
    • 招生信息
    • 就业信息
    • 招生宣传
  • 员工之家
    • 员工组织
    • 员工基金
    • 员工活动
    • 百年院庆
    • 员工动态
    • 知名员工
  • 信息信箱

通知公告

  • bwin官网简介
  • 历史沿革
  • 机构设置
  • 现任领导
  • 历任领导
  • 联系我们

通知公告

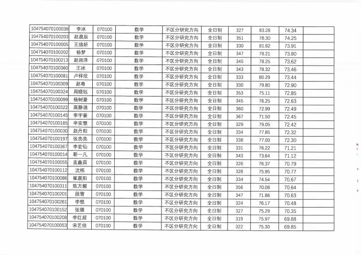
bwin官网2024年硕士研究生复试成绩登记册

日期:2024-04-03  来源:bwin官网  点击:[]


上一条:bwin官网2024年硕士研究生招生调剂公告 下一条:bwin官网 2024年博士研究生招生(第二轮)工作实施细则

【关闭】

友情链接

  • 集团教务处
  • 公司党委办公室
  • 集团董事长办公室
  • 清华大学数学系
  • 浙江大学数学科学院
  • 上海大学数学系
版权所有:bwin·必赢(中国)唯一官方网站